1.2.10 Filter

Begrepet filter bruker vi gjerne i forskjellige sammenhenger som eksempelvis oljefilter og luftfilter i en bilmotor eller for den saks skyld filteret i kaffetrakteren på kjøkkenet. Generelt handler filtrering om å la noen ingredienser passere, mens andre ønsker vi å fjerne eller begrense. Samme prinsipp kan vi godt si gjelder for et elektronisk filter, men her dreier det seg utelukkende om filtrering av frekvenser i elektroniske signaler. Noen frekvenser ønsker vi skal slippe gjennom, mens andre vil vi fjerne. Således også i en forsterker. Vi kjenner gjerne til begrepene diskantfilter og bassfilter i et musikkanlegg. Ved hjelp av bass- og diskantkontroll kan vi endre for hvilke frekvenser vi ønsker nivået skal fremheves eller dempes. Et støyfilter har som oppgave å fjerne støy som er frekvenskomponenter vi ønsker å fjerne fra signalet. Avhengig av hva filteret skal benyttes til, det vil si hvilke frekvenser som skal slippe igjennom og hvilke som skal begrenses, skiller vi gjerne mellom lavpassfilter og høypassfilter, båndpassfilter og båndsperrefilter (båndstoppfilter). Tuneren i en radiomottaker er i praksis et båndpassfilter der frekvensen kan reguleres. Filterets grensefrekvenser regnes ut fra der nivået har sunket 3dB i forhold til nominelt nivå. Komponentene som brukes til selve filtreringen er kondensatorer og induksjonsspoler ved at kondensatorer leder vekselstrøm bedre etter som frekvensen øker og motsatt for spoler. Hvordan de ulike filter kan bygges og beregnes skal vi ta for oss videre i kapitlet. Som vi vil se skilles det også mellom passive og aktive filtre. I motsetning til passive filtre har aktive filtre innebygget forsterkning.

Passive filter

Filter som er bygget opp med kondensatorer og spoler som er passive komponenter kaller vi for passive filter. De har ikke noen forsterkerkrets som operasjonsforsterker eller transistorkrets og er da heller ikke avhengig av spenningsforsyning for å virke. Fordeler med passive filter er at de produserer liten egenstøy og kan brukes ved høye frekvenser. Ulempen er a signalet kan maksimalt ha en forsterkning lik 1. I praksis er den noe mindre og vi får som følge av det en dempning av signalet. For at vi skal få steile flanker må en også ofte bruke spoler i passive kretser noe som fordyrer filteret. Ved bruk av flere spoler i samme filteret vil de lett kunne virke inn på hverandre, noe som gjør at de er vanskeligere å produsere.

Når vi leser datablad for forskjellige filter beskrives disse med grensefrekvens, Q- verdi og hvilken orden filteret har. Noen filter som båndpass og båndstopp beskrives også med båndbredde.

De grunnleggende filtertyper vi skal se på er:

  • Lavpassfilter

  • Høypassfilter

  • Båndpassfilter

  • Båndstoppfilter

Får å kunne ha en krets der en kan bestemme hvilke frekvenser som skal fremheves og hvilke som skal undertrykkes bruker vi komponenter som er frekvensavhengig. Dette er for eksempel kondensatoren.

Lavpassfilter

Ved å bruke formelen for reaktansen til kondensatoren ser en at ved økende frekvens så synker reaktansen Xc.

Et lavpassfilter vil slippe gjennom de lave frekvensene og sperre for de høye.

Setter en opp et vektordiagram for kretsen ser vi at det er en faseforskyvning av signalet ut i forhold til signalet inn.

Bruker vi et lavpassfilter og velger oss noen verdier for komponentene kan vi beregne hvordan fasen og signalet ut forandrer seg med varierende frekvens.

I tabellen ser en at spenningen ut synker med økende frekvens. Dette stemmer med at et lavpassfilter skal slippe igjennom lave frekvenser og sperre for høye frekvenser.

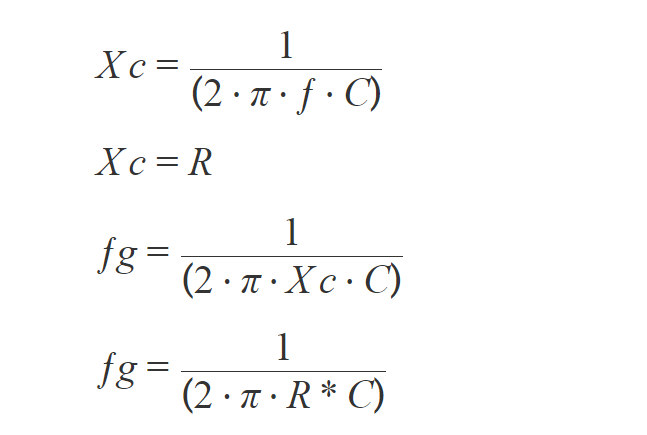
Grensefrekvensen til et slikt filter defineres der signalet ut har sunket med 3dB i forhold til den spenningen vi tilfører kretsen. Faseforskyvningen er da 45 grader og spenningen ut er da 70,7 % av signalet inn. I dette tilfellet er Xc like stor som R.

Beregner vi det vil det bli:

Denne formelen kan vi bruke når vi skal beregne grensefrekvensen til lavpassfilter. Da vet vi at signalet er dempet med 3dB og at faseforskyvningen er 45 grader.

Denne formelen kan vi bruke når vi skal beregne grensefrekvensen til lavpassfilter. Da vet vi at signalet er dempet med 3dB og at faseforskyvningen er 45 grader.

Tar vi noen eksempler og kontrollerer at dette stemmer.

Vi skal konstruere et lavpassfilter med en grensefrekvens på 600Hz. Kondensatoren vi skal bruke er på 2,2µF. Ut fra disse dataene skal vi beregne motstanden vi må bruke og kontrollere resultatet med simulering av kretsen. Først beregner vi motstanden ved å bruke formelen vi kom frem til. Snur vi på denne får vi følgende.

Kretsen blir slik der en tar ut spenningen over kondensatoren. Simulerer vi den i Mulisim får en frekvensgange lik figuren under. Vi ser at utregningene stemmer og at filteret har en grensefrekvens lik 588,8 Hz ved –2,909 dB.

 

Båndpass - stoppfilter

 
 
 

Høypassfilter

 
 
 

Aktive filter

 
 
 

Bass og diskantfilter

 
 

Aktiv toneregulering

Figuren under viser aktiv toneregulering i en Technics stereoforsterker. IC 301 er toneforsterker. Diskanten er VR302, der de frekvensavhengige komponentene er C302 og C318. Basskontrollen er VR30,1 der C316 og C314 er de frekvensavhengige komponentene. Signalet kommer inn på den ikke-inverterende inngangen, mens det frekvensavhengige signalet er tilbakekoblet inn på den inverterende inngangen.

Aktiv toneregulering

Integrerte filter

I dag finnes det et stort utvalg av ferdiglagede filter der det kun er nødvendig med noen få utenforliggende komponenter. De forskjellige leverandørene har ferdige koblinger, der det kun er nødvendig å beregne komponenter ut fra hva vi ønsker filteret skal gjøre. Et slikt filter kan for eksempel være LMF 100 fra National Semiconductor. Datablad for dette og andre filtre finner du på Elfa.se.

Integrerte filter

Oppgaver filter

  1. Hvilke fordeler er det med å bruke brolikeretter fremfor enveislikeretter?

  2. Tegn en skisse over en toveislikeretter.

  3. Hva er fordeler og ulemper med å bruke en toveislikeretter fremfor en brolikeretter?

  4. Forklar hva vi mener med rippelspenning.

  5. Hvorfor er det viktig å stabilisere likespenningen?

  6. Den enkleste formen for stabilisering er å bruke en zenerdiode i parallell med lasten. Tegn en slik stabilisering. Hva er ulempen med en slik stabilisering?

  7. Hva er grunnen til at vi bruker overspenningsvern i strømforsyning?

  8. Tegn en skisse over switched-mode power supply og forklar virkemåten.

  9. Hva er forskjellen på frekvensstyring og pulsbreddestyring?